拓扑材料是一种新的量子物态,具有奇异的电子性质。其重要特点之一就是拥有非平庸的贝里相,而实验确定这一相位的最主要方法就是测量材料在低温强磁场下量子振荡的相位。
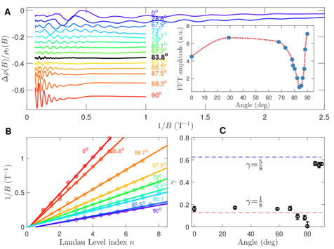
北京大学物理学院俞大鹏院士领导的“纳米结构与低维物理”团队的吴孝松研究组通过研究三维狄拉克半金属材料ZrTe5中量子振荡随磁场倾角的演化,在拓扑材料中第一次观察到了spin zero现象。这一现象带来的振荡相位反转,表明广泛使用的确定贝里相的实验方法,在某些条件下会得出错误结论。
拓扑材料在强磁场下由于轨道作用和自旋塞曼劈裂,可能演化出不同的拓扑态,从而可以研究拓扑相变。Spin zero现象是由于朗道能级发生塞曼劈裂,两套劈裂的朗道能级的量子振荡相互叠加干涉引起的,因此可以提供自旋相关的信息。ZrTe5中spin zero现象的出现,暗示当磁场沿a轴或c轴附近时,ZrTe5的狄拉克能带变成线节点拓扑半金属,而非外尔半金属。
文章于2018年8月27日在PNAS上在线发表(DOI:10.1073/pnas.1804958115),题目为:Vanishing quantum oscillations in Dirac semimetal ZrTe5。北京大学物理学院15级直博生王璟岳为第一作者。这项工作得到了科技部重点专项、国家自然科学基金委、北京大学人工微结构和介观物理国家重点实验室、“2011计划”量子物质科学协同创新中心等的支持。

图表1:ZrTe5中量子振荡的振幅和相位随磁场角度的变化。