二维层状半导体材料具有几个原子层厚度,同时能够保持较高载流子迁移率,是抑制短沟道效应、进一步缩小晶体管尺寸的重要备选材料。然而,目前制备大面积二维半导体薄膜的方法大多采用不同成核点成核、晶畴生长拼接而成。这种方法会在晶畴之间形成晶界,而且不能保证半导体薄膜100%的覆盖率,从而限制了基于这类薄膜制备的器件的性能和均一性。基于大面积集成电路对于半导体器件性能以及均一性的要求,在器件基底上直接制备晶圆尺寸连续二维半导体单晶材料是产业界、科研界亟待解决的科学和技术问题。
为此,北京大学人工微结构和介观物理国家重点实验室叶堉课题组提出了一种利用相变和重结晶过程制备晶圆尺寸单晶半导体相碲化钼(MoTe2)薄膜的新方法。过渡金属硫属化合物是二维材料中非常重要的一类。MoTe2由于其金属相(1T')与半导体相(2H)之间的自由能差异非常小,为在MoTe2中实现两个相之间的可控相变提供了基础。实验中,他们首先通过碲化磁控溅射钼膜的方法得到含有碲空位的晶圆尺寸多晶1T'相MoTe2薄膜。然后,通过定向转移技术将机械剥离的单晶MoTe2纳米片作为诱导相变的籽晶转移到1T'-MoTe2晶圆的正中央,通过原子层沉积的致密氧化铝薄膜隔绝1T'相MoTe2薄膜与环境中的Te原子接触抑制其他成核。之后在种子区域内打孔,使种子区域成为Te原子补给并维系1T'到2H相变的唯一通道,通过面内二维外延实现了单一成核相变生长的单晶薄膜(图1)。实验中发现,籽晶首先通过1T'/2H的垂直界面诱导了种子底部1T'相MoTe2的相变,进而形成了面内的1T'/2H的异质结继续诱导相变的发生。整个相变过程伴随着以异质界面处2H相MoTe2为模板的重结晶过程,使得相变后的整个薄膜的晶格结构和晶格取向与籽晶完全一致,最终得到晶圆尺寸的单晶MoTe2薄膜。该制备方法通过原子的扩散和重排过程实现,无需以衬底为模板,因此可以在非晶的SiO2衬底上进行,为后续的器件制备提供了基础。

图1 a 晶圆尺寸单晶MoTe2薄膜的制备过程示意图。b 制备的MoTe2薄膜的光学照片。c 种子区域的STEM表征。
将得到的晶圆尺寸单晶MoTe2作为模板,通过再次蒸镀钼膜以及再次碲化的方法,可以在垂直方向上实现对该晶圆的快速外延(图2),制备二维半导体的块材单晶晶圆。结合晶圆尺寸的二维层状材料的剥离转移技术,有望实现晶圆尺寸单晶单层MoTe2半导体的批量制备。

图2 垂直方向快速外延制备单晶2H-MoTe2块材单晶晶圆的方法示意图。
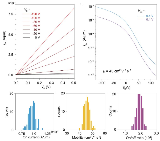
以该薄膜为沟道材料,结合课题组之前发展的MoTe2相变工程方法制备的大面积1T'/2H/1T'相面内异质结场效应晶体管阵列,器件体现出100%的良率,并具有很好的电学性能,且其电学性能表现出很好的均一性(图3)。

图3 以晶圆尺寸单晶2H-MoTe2薄膜为沟道材料,结合相变工程方法制备的1T'/2H/1T'面内异质结场效应晶体管阵列的电学表征。
该工作以“Seeded 2D epitaxy of large-area single-crystal films of the van der Waals semiconductor 2H MoTe2”为题,于2021年4月9日在线发表于学术期刊《科学》(Science)上。本实验室叶堉研究员为文章通讯作者,博士后徐晓龙为文章的第一作者。北京大学高鹏研究员、陈基研究员、徐万劲高级工程师,山西大学韩拯教授为本项研究的主要合作者。这一工作得到了国家重点研发计划、国家自然科学基金、北京市自然科学基金、人工微结构和介观物理国家重点实验室等支持。
论文原文链接:https://science.sciencemag.org/content/372/6538/195.full