人工微结构和介观物理国家重点实验室“极端光学创新研究团队”刘运全教授、何琼毅教授等人,基于自由电子与超快光场的相互作用,提出了制备与调控光学猫态的新方案。相关研究成果以“基于自由电子-光子多通道相互作用的量子干涉效应制备光学猫态”(Generating optical cat states via quantum interference of multi-path free-electron–photons interactions)为题发表在《科学通报》(Science Bulletin)上。
“薛定谔的猫”是由奥地利物理学家薛定谔于1935年提出的将猫置于“生死叠加”状态的著名思想实验。当一个物理系统的量子态处于两种宏观可区分状态的量子叠加时,通常称该系统处于薛定谔猫态。光学薛定谔猫态作为一种重要的量子资源,在研究经典与量子的边界、量子计算和量子精密测量等领域具有重要应用。然而,现阶段实验上制备的光学薛定谔猫态的光子数普遍较少,如何实现大光子数的薛定谔猫态是目前亟待解决的科学问题。
随着电子显微镜技术的发展,尤其是光子诱导近场电子显微(photon-induced near-field electron microscopy, PINEM)现象发现以来,人们利用自由电子与超快光场间的相互作用实现对大光子数量子态的调控成为可能。利用自由电子与超快光场之间的强耦合相互作用,可以制备电子与光子之间的量子纠缠以及实现激光驱动自由电子的量子行走等,为量子光学和强场物理的交叉研究提供了新的物理平台。

图1 基于自由电子与超快光场相互作用实现光学猫态制备的原理示意图。
基于对PINEM系统中自由电子与超快光场相互作用的深入研究,刘运全课题组和何琼毅课题组合作提出了一种实现光学猫态制备与调控的理论新方案。利用自由电子与光子之间的强耦合相互作用,自由电子可以等效地吸收或放出多个光子,从而形成多条不同的量子通道。在弱耦合时,光场中的光子数远远大于电子等效吸收或放出的光子数,单条量子通道对光场量子态的影响几乎可忽略。在强耦合条件下,由于多条量子通道之间存在量子干涉,使得输出光场的量子态受到调制,从而可以实现光学薛定谔猫态的制备,如图1所示。
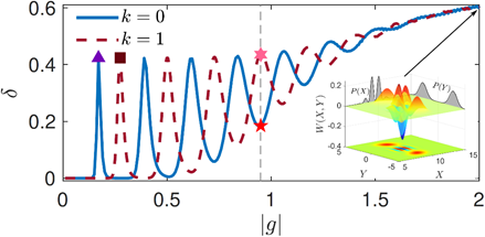
通过改变自由电子与光子间的耦合强度,研究团队发现可以利用输出光场量子态的Wigner负性,刻画自由电子与超快光场相互作用中的干涉效应。如图2所示,输出光场量子态的Wigner负性随耦合强度的增加而发生振荡,出现类干涉条纹的现象。由于Wigner负性反映的是输出光场的非经典性质,这意味着利用量子通道之间的相干相长,可极大地增强输出光场的非经典性质。研究发现,当Wigner负性达到振荡峰值的时候,输出光场将坍缩为薛定谔猫态,其保真度可达到0.99以上,由此可实现高保真大光子数的猫态制备。

图2 输出光场量子态的Wigner负性δ随耦合强度|ց|的增加而发生振荡,并在耦合强度较大时达到饱和;当Wigner负性达到峰值处时,可实现高保真光学猫态的制备。
北京大学物理学院现代光学研究所孙风潇副研究员为论文第一作者,刘运全和何琼毅为该论文共同通讯作者。研究工作得到了国家自然科学基金委、科技部、人工微结构和介观物理国家重点实验室、量子物质科学协同创新中心和极端光学协同创新中心等的支持。
论文原文链接:
https://www.sciencedirect.com/science/article/pii/S2095927323003766?via%3Dihub