北京大学人工微结构和介观物理国家重点实验室“极端光学创新研究团队”王树峰副教授和龚旗煌院士等在钙钛矿微腔光子学模式研究中取得重要进展,基于光发射电子显微镜(PEEM)实现了对单晶钙钛矿CsPbBr3(溴铅铯)微腔光子学模式的实时观测与操控。
新型金属卤化物钙钛矿材料具有高荧光量子产率、低缺陷态密度、低受激发射阈值等优势,近年来被广泛应用于微纳激光器制备与受激发射机理研究。研究钙钛矿微腔的光子学模式,有利于理解腔内光与物质的相互作用、光场传播与耦合等物理机制,同时也便于进行新型钙钛矿光电子器件的设计与优化。
研究团队基于飞秒-纳米时空分辨光学实验系统研究了钙钛矿表面缺陷态的微观动力学特性(Nano Letters, 21(7), 2021);近期利用PEEM进一步开展了无机钙钛矿CsPbBr3微腔的空间特性研究(图1(a))。光电子成像系统具有高达10nm的空间分辨率,可以表征钙钛矿微腔表面的光电子分布。研究发现,光电子成像结果与激发光波长(λE)相关:当λE=400 nm时,钙钛矿微腔表面的光电子分布均匀,反映了样品表面形貌特性(图1(b));在亚禁带共振光激发(λE=538 nm)条件下,钙钛矿微腔表面呈现清晰的干涉模式(图1(c))。图1(d)给出了钙钛矿微腔表面的干涉模式形成机理,即微腔内传播的光子学模式与入射光场的干涉结果。
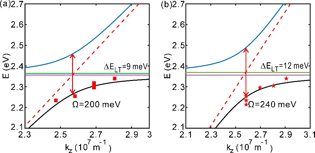
研究团队研究了不同激发波长下微腔内的TM模式(横磁波模式)和TE模式(横电波模式)。分析表明,干涉周期(kz)与激发光波长符合钙钛矿材料的激子极化激元色散关系(色散曲线如图2所示),可见亚禁带激发时所观测到的钙钛矿微腔表面干涉模式反映出腔内光子与激子的耦合。通过控制微腔几何结构和光场极化方向,团队在微环钙钛矿和微盘钙钛矿结构中实现了腔内光场模式聚焦的操控与实时观测(图3),为研究钙钛矿微纳结构光物理提供了新的思路和方法。

图1 光发射电子显微成像(a)、钙钛矿微腔光电子成像结果(b, c)及光学干涉模式形成机理(d)

图2 腔内TM(a)、TE(b)模式色散关系理论分析与实验结果(红色散点)

图3 钙钛矿微腔光学模式控制研究:(a)微环钙钛矿扫描电子显微(SEM)成像图;(b-c)腔内模式实验中亚禁带激发下微环钙钛矿光电子成像结果;(d)时域有限差分(FDTD)法数值分析结果;(e)腔内模式实验与理论数值分析对比;(f-j)对微盘钙钛矿微腔的研究结果
2021年5月13日,相关研究成果以“钙钛矿微腔光子学模式的成像与操控”(Imaging and Controlling of Photonic Modes in Perovskite Microcavities)为题,在线发表于《先进材料》(Advanced Materials)。第一作者是北京大学物理学院2016级博士研究生刘伟,王树峰是通讯作者;主要合作者包括人工微结构和介观物理国家重点实验室戴伦教授、刘运全教授、吕国伟研究员等。
上述研究工作得到国家重点研发计划、国家自然科学基金国家重大科研仪器设备研制项目、广东省基础研究与应用基础研究重大项目及山西大学极端光学协同创新中心等支持。
文章原文链接:https://onlinelibrary.wiley.com/doi/full/10.1002/adma.202100775